DOU de 24.11.2005
Dispõe sobre o cálculo da Contribuição para o PIS/Pasep-Importação e da Cofins-Importação.
O SECRETÁRIO DA RECEITA FEDERAL, no uso da atribuição que lhe confere o inciso III do art. 230 do Regimento Interno da Secretaria da Receita Federal, aprovado pela Portaria MF no 30, de 25 de fevereiro de 2005, e tendo em vista o disposto no art. 7o da Lei no 10.865, de 30 de abril de 2004, com a redação dada pela Lei no 11.196, de 22 de novembro de 2005, declara:
Art 1o Os valores a serem pagos relativamente à Contribuição para o PIS/Pasep-Importação e à Contribuição para o Financiamento da Seguridade Social (Cofins-Importação) serão obtidos pela aplicação das seguintes fórmulas, exceto quando a alíquota do Imposto sobre Produtos Industrializados (IPI) for específica:
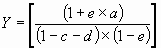
I – na importação de bens:
onde,
VA = Valor Aduaneiro
a = alíquota do Imposto de Importação (II)
b = alíquota do Imposto sobre Produtos Industrializados (IPI)
c = alíquota da Contribuição para o PIS/Pasep-Importação
d = alíquota da Cofins-Importação
e = alíquota do imposto sobre operações relativas à circulação de mercadorias e sobre prestação de serviços de transporte interestadual e intermunicipal e de comunicação (ICMS)
II – na importação de serviços:
onde,
V = o valor pago, creditado, entregue, empregado ou remetido para o exterior, antes da retenção do imposto de renda
c = alíquota da Contribuição para o Pis/Pasep-Importação
d = alíquota da Cofins-Importação
f = alíquota do Imposto sobre Serviços de qualquer Natureza
Art. 2o Na hipótese de a alíquota do IPI ser específica, os valores a serem pagos serão obtidos pela aplicação das seguintes fórmulas:
![]()
![]()
onde,
![]()
![]()
Q = Quantidade do produto importada na unidade de medida compatível com a alíquota específica do IPI.
VA = Valor Aduaneiro
a = alíquota do II
β = alνquota específica do IPI
c = alíquota da Contribuição para o PIS/Pasep-Importação
d = alíquota da Cofins-Importação
e = alíquota do ICMS
Art. 3o Nas hipóteses de imunidade ou de isenção ou redução do II ou do IPI, redução das alíquotas dos respectivos tributos, ou redução de suas respectivas bases de cálculo, o valor correspondente a qualquer deles, que seria devido caso não houvesse imunidade, isenção ou redução, não compõe a base de cálculo da Contribuição para o PIS/Pasep-Importação e da Cofins-Importação.
§ 1o Aplica-se também o disposto no caput nas hipóteses de:
I - imunidade, isenção ou redução do ICMS, ou ainda, de redução das alíquotas ou da base de cálculo do tributo;
II - aplicação dos regimes aduaneiros aplicados em áreas especiais;
III - suspensão do pagamento do IPI vinculado à importação de que tratam as Leis no 9.826, de 23 de agosto de 1999, no 10.485, de 3 de julho de 2002, e no 10.637, de 30 de dezembro de 2002, com a redação dada pela Lei no 10.684, de 30 de maio de 2002.
§ 2o Nos casos de imunidade, isenção ou da suspensão do IPI vinculado à importação de que trata o inciso III do § 1o deste artigo, deve-se informar o valor zero para a alíquota correspondente de cada tributo e, nos casos de redução, deve ser informada a alíquota real empregada na operação.
§ 3o Na hipótese de diferimento do pagamento do ICMS, o valor do ICMS diferido compõe a base de cálculo da Contribuição para o PIS/Pasep-Importação e da Cofins-Importação.
Art. 4o O contribuinte que comprovar o recolhimento de valores a maior que o devido da Contribuição para o PIS/Pasep-Importação e da Cofins-Importação em razão da utilização das fórmulas constantes da Instrução Normativa RFB no 571, de 20 de outubro de 2005, antes da publicação desta Instrução Normativa, terá direito a restituição da diferença de valores, nos termos da Instrução Normativa SRF no 460, de 18 de outubro de 2004.
Art. 5o Fica revogada a Instrução Normativa RFB no 571, de 20 de outubro de 2005.
Art. 6o Esta Instrução Normativa entra em vigor na data de sua publicação, produzindo efeitos a partir de 22 de novembro de 2005.
JORGE ANTONIO DEHER RACHID






